12:37
[익명]
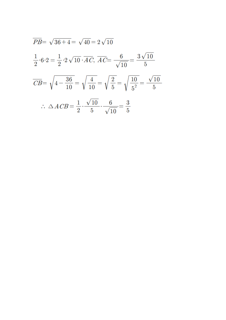
중3수학 풀이 부탁드립니다
부탁드립니다
재미있는수학
회원가입 혹은 광고 [X]를 누르면 내용이 보입니다
-
베트남 동 환전 950,000원동 한화 계산할때0하나 빼고 나누기 2하면 되는거 아닌가요??제가 알고 있는거랑
2025.12.14 -
사주 보고싶어요~ 사주 보고 싶은데 어디서 봐야할 지모르겠어요여자 양력 2007 04 06
2025.12.01 -
일본 만화 제목을 찾습니다 - 비행 마법 저격 여자 기억하기로는 위의 내용에 있는 일본 만화 제목을 찾습니다. 만화의 내용은
2025.12.01 -
이거 무슨 포켓몬이에요? 신기하네요
2025.12.01 -
폰트 합니다 무슨 폰트인지 알려주세요
2025.11.30 -
공장초기화가 안됩니다 제가 볼륨 아래버튼이랑 전원버튼을 핸드폰 화면이 켜질때까지 동시에 눌렀는데 공장초기화가
2025.11.30